(OR) Jihad Pogromming – a Secular, Liberal, Left & pseudocode Read the rest of this entry »
நாம், நம்முடைய லோக்சபா2019 தேர்தல்கள், நம் சிறுபான்மையினர், நம் எதிர்காலம் – சில குறிப்புகள் (3/4)
April 18, 2019
சரி. இதற்கு முன், முதல் இரண்டு பகுதிகளைப் படித்தால் நலம். அரசியல்சரியின்மை, இந்தப் பகுதியிலும் தொடர்கிறது. மகிழ்ச்சிதானே? :-(
- நாம், நம்முடைய லோக்சபா2019 தேர்தல்கள், நம் சிறுபான்மையினர், நம் எதிர்காலம் – சில குறிப்புகள் (2/3) 17/04/2019
- நாம், நம்முடைய லோக்சபா2019 தேர்தல்கள், நம் சிறுபான்மையினர், நம் எதிர்காலம் – சில குறிப்புகள் (1/3) 17/04/2019
[என் சொந்தப் பிள்ளைகளின், பள்ளிப் பிள்ளைகளின் வளமான, பிரகாசமான, அமைதியும் முன்னேற்றமும் துலங்கப்போகும் எதிர்காலத்துக்காக – தாமரை மறுபடி பூக்கவிருக்கும் தடாகத்திற்காக – படுமோசமான சுயநலத்துடன் பாஜக/மோதிக்கு வாக்களித்துவிட்டுத் தொடர்கிறேன்…] Read the rest of this entry »
நாம், நம்முடைய லோக்சபா2019 தேர்தல்கள், நம் சிறுபான்மையினர், நம் எதிர்காலம் – சில குறிப்புகள் (2/3)
April 17, 2019
இந்தவரிசையின் முதல்பாகத்தைப் படித்துவிட்டு இதனைப் படிக்க முயன்றால் – நான் சொல்லவருவது புரிபடலாம். Read the rest of this entry »
நாம், நம்முடைய லோக்சபா2019 தேர்தல்கள், நம் சிறுபான்மையினர், நம் எதிர்காலம் – சில குறிப்புகள் (1/3)
April 17, 2019
கடந்த பத்து நாட்களாக, தேர்தல் தொடர்பாக வாக்குசேகரம் செய்கிறேனென்ற பெயரில், சமயம் வாய்க்கும்போதெல்லாம் கொஞ்சம் (=முட்டாக்கூ தன்னார்வலத்தனமாக) அலைந்துகொண்டிருக்கிறேன். பெரிதாகச் சொல்லிப் பெருமைப் பட்டுக்கொள்ள, விகசிக்க ஒன்றுமில்லை – ஆனால், சில கள-அனுபவங்கள் குறித்த சிலபல ரணகளச் சிந்தனைகளும் பாரதத்தின் காத்திரமான எதிர்காலத்தைக் குறித்த நம்பிக்கைகளும், தற்காலத்தின் கோலத்தை நினைத்து வருத்தங்களும் – என் மண்டையை ஏகத்துக்கும் குடைந்துகொண்டிருக்கின்றன. நாளை என்பகுதியில் வாக்குப்பதிவுவேறு – அதனால் கொஞ்சம் அவகாசம் கிட்டியிருக்கிறது.
https://othisaivu.wordpress.com/2014/04/20/post-363/#comment-10954 – Please read the young man’s comments and my response below it.
Oh well. In these days of good connectivity & ready access to knowledge, is it so difficult to get properly formed perspectives, do critical analysis and then form informed opinions? I really wonder!
Aren’t real wise men always accessible these days, so that impressionable minds can go seek them out? Even a nondescript joker like yours truly, is able to access many of them… so, am truly and verily puzzled!
…Anyway, while you are on the job – check out my latest tweet-series about the elections and Bakhtiyar Khilji effect. Thanks!
[15 காரணங்கள்] நான் ஏன் ராஹுல்காந்தியை ஆதரிக்கிறேன்?
April 6, 2019
…அதாவது, திமுக-காங்கிரஸ் இன்னபிறர் கூட்டணியை ஏன் ஒருமனதாக, ஏகோபித்து ஆதரிக்கிறேன்? Read the rest of this entry »
பலருக்கு, ஏன், பாஜக ஆதரவாளர்களுக்கேகூட, பாஜக-மோதி அரசு என்னதான் பிறவிஷயங்களில் ஜொலித்தாலும் – இந்தியாவின் பண்டையப் பெருமைகளையும், சாதனைகளையும் போற்ற, வெளிக்கொணர வேண்டியவைகள் குறித்து ஏதும் பெரிதாகச் செய்யவில்லை எனவொரு எண்ணம். Read the rest of this entry »
பலப்பல விஷயங்களுக்கு, பாஜக-அரசு தொடர்ந்து செய்துவரும் ஆரவார விளம்பரமற்ற, ஊடகப் பேடிகளால் கண்டுகொள்ளப்படாத விவரணைகள் – நூற்றுக்கணக்கில் புள்ளிவிவர அட்டவணைகள் (சரிபார்க்கப்பட்ட எண்ணிக்கைகளுடன்) இருக்கின்றன. என்னால் முடிந்தவரை இவற்றைக் கொடுக்கிறேன். Read the rest of this entry »
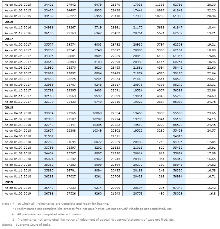
உச்ச நீதிமன்றத்தில் நிலுவையில் இருக்கும் வழக்குகள் விவரம் கீழே…
மோதி/பாஜக அரசின், நீதிபரிபாலன அமைப்பு/வர்க்கங்களுடனான அணுக்கமான நடவடிக்கைகளால், அதிகாரவர்க்கத்தை முடுக்கிவிடும் பாங்கினால், தொடர்ந்த மேற்பார்வையினால் – நிலுவை எண்ணிக்கை தொடர்ந்து குறைந்துகொண்டு வருகிறது; இத்தனைக்கும் மோதிக்கு (அதாவது நல்லாட்சிக்கு) எதிராக அணி திரண்டுள்ள கொள்ளைக்கார கும்பல்களின், எதற்கெடுத்தாலும் உச்ச நீதிமன்றத்துக்குப் போவோம் என்கிற அழிச்சாட்டியமும் நடந்து கொண்டிருக்கிறது…. அதே சமயம் – முன்னர் காங்கிரஸ்+திமுக மெத்தனக் கொள்ளை ஆட்சியில் – இந்த எண்ணிக்கை – தொடர்ந்து பலவருடங்களாக ஏறிக்கொண்டிருந்ததை கவனிக்கவும்.
போகவேண்டிய தூரம் அதிகம்தான் – இருந்தாலும் மோதி/பாஜக அரசில் இது ஒரு நல்ல தொடக்கம் இல்லையா? நிலுவை எண்ணிக்கை இறங்குமுகத்தில் இருக்கிறது இல்லையா?
-0-0-0-0-
நிலுவையில் இருக்கும் வழக்கு உட்பட விஷயங்களின் அட்டவணை கீழே. பாருங்கள், முந்தைய அரசின் ஆட்சிகாலத்தில் – 2014 வரை 60,000த்துக்கு மேற்பட்ட விஷயங்கள் நிலுவையில் இருந்தன. பாஜக ஆட்சியில் இது கொஞ்சம் கொஞ்சமாகக் குறைந்துகொண்டே வருவதைப் பாருங்கள்… (இத்தனைக்கும் உச்ச நீதிமன்ற நீதிபதிகளை நியமிப்பதில் அத்தனை இழுபறி… + ஊடகப் பேடிகளின் உசுப்பிவிடும் ஆகாத்தியம்…)
-0-0-0-0-
இன்னொன்று: அரசியல் சட்டம் குறித்த பெஞ்ச் அமர்வுகள் 2017 ஜூலைக்குப் பிறகு மிகத் தீவிரமாகக் கண்காணிக்கப்பட்டு – உச்ச நீதிமன்ற நீதிபதிகளுடன் ஒத்துழைத்துத் தரம்/சிக்கல் வாரியாகப் பிரிக்கப்பட்டுக் கையாளப் படுகின்றன. (இந்த அளவு வருவதற்கே கொஞ்சம் சிடுக்கல் – ஏனெனில் மத்திய அரசு நல்லெண்ணத்துடன், நிலுவை விஷயங்களைக் கூடிய சீக்கிரம் முடிக்கவேண்டும் என நினைத்தாலும், அதற்காகக் காத்திரமாக, சட்டதிட்டங்களுக்குட்பட்டு முயன்றாலும் – சிலபல நீதிபதிகளுக்குக் காமாலைக் கண். என்ன செய்ய!)
அதற்கு முன் பொத்தாம் பொதுவாக இந்த எண்ணிக்கைகள், புள்ளியியல் விவரங்கள் கொடுக்கப்பட்டு வந்தன.
-0-0-0-0-0-
மோதி குஜராத்தில் இருந்தபோது – நீதிமன்றங்களின் வேலை நேரத்தை நீட்டித்தும், அதிக பெஞ்சுகளை உருவாக்கியும், நீதிமன்றங்களின் வேலை நாட்களை அதிகரித்தும், பிறவழிகளில் சட்டபூர்வமாக வழக்குகளை ஃபைஸல் செய்யவும் – பலப்பல முயற்சிகள் எடுத்தார். ஊழியர்களுக்கு, அதிகப்படி வேலைக்கான அதிகப்படி ஊதியமும், அலவன்ஸ்களும் கிடைக்க ஆவன செய்தார். இதன் விளைவாக குஜராத் மாநிலத்தில், நீதி பரிபாலனத்திலும் வியக்கத்தகு முன்னேற்றம் ஏற்பட்டது.
இன்னமும் சில முறை பாஜகவுக்கு மத்திய அரசமைக்க வாய்ப்புக் கிடைக்குமானால் – உச்ச நீதிமன்றத்துக்கும் அணுக்கமாக இருந்து, இந்த நிலுவை வழக்குகளைப் பலவிதங்களிலும் குறைக்க, நீதி பரிபாலன முறைமைகள் ஒப்புக்கொள்ளக்கூடிய நேர அளவில் செயல்பட, தேவையற்ற தாமதங்களில்லாமல் நம் மக்களுக்கு நீதி கிடைக்க, சிதம்பரம், கனிமொழி, ஸோனியா, ராஹுல் போன்ற பொறுக்கிகள் போர்க்கால ரீதியில், சட்ட-நீதிபரிபாலனரீதியாக உள்ளே தள்ளப்பட – ஆவன செய்யப்படும் என்பதில் எனக்குச் சந்தேகமேயில்லை.
ஏனெனில் பாஜக-மோதியின் ட்ரேக் ரெக்கார்ட் அப்படி! சாதித்துவிட்டுத்தான், கொஞ்சமாகப் பேசுகிறார்.
ஆனால் – எதிரணியில் கஞ்சா அடித்துவிட்டு, குற்றம் சாட்டப்பட்டு நிபந்தனை ஜாமீனில் வெளிவந்து, உளறிக்கொட்டும் கூறுகெட்டக் குறுமதியாளர்கள்தாம் இருக்கிறார்கள்.
ஆகவே!
மோதி மீண்டும் வரவேண்டும்!
தமிழகத்தில் உள்ள பேரறிவாள பிஹெச்டி அகழ்வாராய்ச்சிக்காரர்களை நினைத்தால் நடுக்கமாகவே இருக்கிறது. ஏனெனில் பாரதத்திலேயே கடந்த பலவருடங்களாக, நம் செல்லத் தமிழகத்தில்தான் இந்த நபர்களின் எண்ணிக்கை (சேர்க்கைப் பதிவு பொறுத்தவரையும்) உச்சாணிக்கொம்பில் இருக்கிறது… Read the rest of this entry »
இந்த ‘ஸீகோ ஔர் கமாவ்‘ திட்டத்தைப் போலவே பலப்பல திட்டங்கள், புதிதாகவும் (அற்புதமான உஸ்தாத் திட்டம் போல – ஆனால் உஸ்தாத் மிகப்பெரிய கனவுகொண்ட திட்டம் – நன்றாகவும் களமிரக்கப்பட்டிருக்கிறது) இருக்கின்றன. ஆனால் எல்லாவற்றையும் குறித்து எழுத சக்தியில்லை, மன்னிக்கவும். மேலும் – இது தமிழில் எழுதப்படுவதால் – இதில் தமிழகத்தைப் பற்றிய குறிப்புகளை மட்டுமே கொடுக்கிறேன்.
ஒருபானைச் சோற்றுக்கு ஒரு சோற்றுப்பருக்கை பதம். Read the rest of this entry »
“…நாங்கள் ஆட்சிக்கு வந்ததும், உண்மையைக் கண்டுபிடித்து, யார் இந்தத் ‘தற்’கொலைகளின் பின்னால் இருந்தார்கள் என நாட்டு மக்களுக்கு… … டட்டடா டட்டடா டட்டடா…” Read the rest of this entry »
இது சுமார் 10 நிமிடங்களே ஒடுவது; அவசியம் பார்க்கவும். Read the rest of this entry »




